Skip to main content

The risks of eroding work and study conditions for students

06 Oct 2025 | Professor Antony C. Moss and Jonathan Neves Professor Antony C. Moss, London South Bank University and Jonathan Neves, Advance HE, explore in greater depth the patterns of work and study which students are now reporting.

Introduction 

Each year, Advance HE and HEPI provide the sector with an insight into the changing nature of student experience across the UK, in the form of the Student Academic Experience Survey (SAES). This year’s survey captured the views and experiences of over 10,000 full time undergraduate students, and reported a number of interesting changes and trends which the sector should be considering as we work to understand and meet the needs of our students. 

Insights regarding the proportion of students who are undertaking paid work during term time, and the number of hours of work they are undertaking, is an area of particular concern – because this figure is growing. Over two thirds of students now undertake paid work during term time, up by over 12% from 2024. While this is no surprise given the ongoing challenges students face in meeting the cost of living, this trend poses a significant challenge to higher education institutions who are having to accept that the majority of students have significant time commitments to activities outside of being a full-time student. In this follow up analysis, we have explored in greater depth the patterns of work and study which students are now reporting. 

Changing patterns of work and study over time 

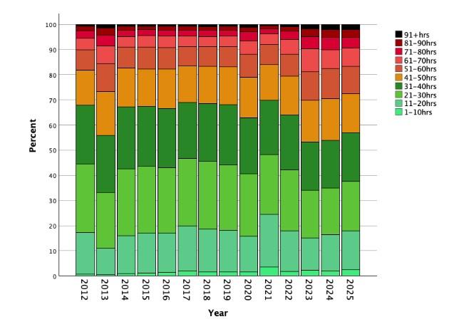
The SAES not only captures the number of hours worked by students, but it also asks students to report the number of hours they engaged in timetabled classes and independent study. This enables us to look at the combined hourly commitment students have to make between paid work and all aspects of their study. In the SAES 2025 report, the overall average time spent in work and study was 39.8 hours, down (but not significantly so) from 41.7 hours in 2024. However, averages can easily mask problems which can emerge on the outskirts, and so we have now looked at the distribution of combined work and study. 

Figure 1, below, illustrates the distribution of combined weekly work and study, which reflects a concerning pattern that belies the overall averages noted above. Over the past three years, there has been a significant jump in the proportion of students working more than 50 hours per week. In previous years, the average sat at around 20% of students; but we have seen a significant and sustained increase to around 30% of students in the last three years working very long hours – with around 18% working more than 60 hours per week. 

Distribution of of combined weekly work and study

Importantly, these figures only include paid work and study and exclude parental and other care responsibilities. The King’s Fund recently reported that over half of carers can provide up to 19 hours of unpaid care per week. Almost 15% of the students in this year’s SAES reported having parental or other care responsibilities, and our analysis showed that this group were significantly more likely to be working longer hours than the average student.  

What this analysis does not tell us is the point at which we should be concerned that any given student is working excessively. Perhaps at the extremes, for students working and studying in excess of 80 hours, we might all agree this is not sustainable for anyone. But this accounts for a small (albeit still growing) group. So what should we consider to be an acceptable balance of work and study for students? A reasonable basis for comparison could be derived from employment law, wherein we have settled as a society on a figure of 48 hours per week as a maximum amount of time an employee can be contracted to work on a regular basis. This expectation is further embedded for apprentices, where their combined work and study commitments cannot typically be allowed to exceed 48 hours – meaning that education providers for apprentices cannot just assume that their apprentices have an unlimited amount of time to engage in studying, and need to balance study workloads against the amount of time working on the job, with the 48 hour weekly maximum. 

Figure 2, below, shows the same data as above, but with a simpler binary split between students working more or less than 48 hours. Here we can see even more clearly the significant shift, and by using the same standard which we would apply to anyone in the workplace, this shows that we have a significant problem. Over 30% of students have to routinely commit more than 48 hours a week to work and study. 

Fig 2 - Binary split between students working more or less than 48 hours

Students with high study and employment workloads 

In the main 2025 SAES report, the analysis highlighted how some types of students were particularly impacted by high levels of employment, and that these were often the same cohorts who already face particular challenges, such as carers or commuters. However, we also know from the data – as we will highlight below – that some students are more likely to be studying more hours than the average student, as well as working. 

Highlighted below are selected disciplines where students spend relatively high – and relatively low – numbers of hours in class, placements or independent study (combined), charted alongside the average number of hours these students spend in paid work. 

2025 average hours per week - selected disciplines

As the chart shows, there are many students within some discipline areas of high study workload, such as Veterinary Science and Architecture who also undertake long hours of paid work. At the other end of the scale, the average hours of paid work among students studying other subjects such as History or Geography, is relatively low, while the study hours in these disciplines is also lower than average. While there is unlikely to be a strong direct disciplinary link between studying hours and the need to work for pay, it does imply that high levels of paid work can impact students across the spectrum and that courses with the most demanding levels of timetabled attendance need to take into account that students will need to spend time working no matter how many hours their courses demand of them.  

This picture of some students facing higher than average levels of both study and employment is underlined by the data, below, which points towards average levels of paid work increasing as study hours rise. 

2025 average hours pre week in paid employment - by course workload

On the face of it, these data are counterintuitive, in that we may reasonably have expected students to take steps to balance employment and study time where they can. For example, students might potentially make a particular choice of course if they know they will need to work or perhaps work longer hours during holidays if their course demands a high level of attendance and study during term time. However, while this may still be happening, the data point towards the students who are busiest in their course also being those who, on average, also take on the most paid employment. Unpicking this will require further investigation to fully understand the extent to which students in the most demanding courses need to work long hours (or vice versa). This is important to explore as it has implications for how student support and flexible learning options are offered. 

The impact of working hours on higher education choices 

As we identified in this year’s SAES, many students come into higher education expecting to work and often manage the demands on their time extremely well. However, it would be logical if the sheer volume of paid work commitments now faced by many students began to impact the choices made, for current students during their course, or for future cohorts who may begin to view higher education in a different light. 

The first evidence of this can be found by digging deeper into this years’ SAES data and looking specifically at one of the core questions which assesses how happy students are with their choice of course/provider.

Whether students would make the same choise again - by levels of paid employment (2025)

As we can see, by far the highest levels of satisfaction with the choice are among students who do not spend any time at all in paid employment. Among these students, the majority would make the same choice and just 7% would not enter higher education at all. However, levels of consideration for options outside higher education are twice as high (14%) among students with the highest levels of employment hours (30+), which is a significant finding.  

In terms of alternative options students would consider, the differences by time in paid employment are small, but consideration of an apprenticeship – either degree level or non-degree level – is markedly higher across all those in paid employment. A potential outlier in these data is that students who work, but at relatively low levels, are just as likely to consider different options as those who work at high levels, which may imply that for some students, even a low level of paid employment while studying may cause them to think again about their higher education choices. 

Conclusion and recommendations 

Our follow-up analysis of this year’s SAES data has identified some concerning trends regarding the number of hours students are routinely having to commit to work and study. Going to university is supposed to be challenging – students engage in high-level study of complex subjects, and developing the skills to meet these challenges is a significant part of what ensures their future success. However, if the current trend continues, the challenging part of being at university may increasingly end up being about balancing excessive demands on time and finance, rather than the fundamental intellectual challenge that should underpin a positive higher education journey. 

To be clear, this is not a situation which anyone has consciously decided to create. Students enrolling at university for full-time study will be told about the importance of ensuring they are able to engage with their studies, and no university is offering courses which require students to commit to unmanageable workloads. Equally, employers hiring students are not contracting them for excessively long hours. However, the growing costs of living are driving more students into an unsustainable and unhealthy working pattern, which, if we compare them with the rules we have in place to protect employees, are objectively excessive in their totality. In practical terms, students who have been pushed into this sort of working pattern will find it more difficult than others to absorb the impact of unexpected life events, which may increase the likelihood of negative academic outcomes. And we can also see that this is affecting the perceptions these student have about their decisions to enter higher education in the first place. 

Having recently drawn attention to other ways in which students are treated in less favourable ways compared to citizens in general, it is important to open up discussions about what it is like to be a student. This is not just for moral and ethical reasons, but because the government’s growth agenda will lean heavily on attracting more people into higher education – albeit in a way that targets growth industry skills needs. If the living standards for students continue to worsen, it seems unlikely that this aim will be successful. Current university students will lean on their own experience of going to university when advising their children in future, so we have a collective responsibility to ensure that their experience is one which they’d recommend to future generations. 

Given the complexity of this issue, there is no silver bullet solution, but there are a range of actions that can be taken up by stakeholders. 

Ensure students can access sufficient funds through maintenance loans so that they are not driven to commit to excessive amounts of paid work. 

This is a call that has been made by many organisations and individuals across the sector, so we won’t labour the point here. We would highlight the recent work led by HEPI and TechnologyOne which has analysed the Minimum Income Standard for Students as a practical guide to the levels of funding that would help achieve this aim. 

Ensure that we design and structure courses in higher education which are sensitive to the fact that many of our students have far more substantial commitments outside of education than they have ever had in the past. 

This call might easily be read as a call for ‘dumbing down’, and indeed it is reasonable to assert that education takes time and attention and cannot be fast-tracked. We cannot solve this problem by simply reducing contact hours at university, as educational outcomes would suffer. However, one of the regular findings of the SAES has been that higher education providers are slowly but surely increasing assessment loads for students. Since 2017, the number of assessments per term/semester has risen from 4.6 to 5.8. This would translate as the average student now completing 2.4 more assessments every year in 2025, compared to 2017. There is no obvious reason why we need to assess students more in 2025 than we have done in previous years. 

Overassessment has been a perennial concern since the introduction of a modularised system, where student accrue credit in blocks throughout their studies. This is not, however, pedagogically immutable – and other parts of our education system still rely heavily on linear, rather than modular, assessment approaches, where students complete a smaller number of final assessments at the end of a fixed period of study. 

This issue can be debated at length, but the reality is that while the demands on our students’ time are increasing, as a sector we have also been growing the demands we place on our students – rather than holding them steady, or potentially even reducing them through different approaches to assessment entirely. 

Beyond assessment, higher education providers can also reflect on the ways in which study hours are structured and scheduled. From the SAES data, there is quite a wide range of study hours at subject level, and it is worth considering whether this is necessary, or whether it is simply that certain custom and practice assumptions about study are impacting on expectations in different subjects. Notionally, students should be committing around 10hrs of study per university credit based on the Quality Assurance Agency’s guidance, regardless of subject – so any significant subject-level variations in average study hours per credit being undertaken is something we need to critically interrogate. 

Revisit the assumptions we make in the sector regarding required study hours. 

Having mentioned the Quality Assurance Agency’s guidance on notional study hours, this is also something we should reflect upon as a sector. Notionally, for every credit earned on a degree programme, students should commit an average of 10 hours – this includes timetabled classes, independent study, fieldwork and trips, and time spent working on assessments and revision. Given that each academic year of an undergraduate degree consists of 120 credits, students should therefore be spending an average of 1200 hours per year on their studies. 

However, while 1200 hours across a full calendar year might sound reasonable, degree programmes are rarely taught across the full year. Indeed, the Student Loan Company defines a full-time programme as one which requires attendance between 24 weeks and a maximum of 30 weeks and 3 days. Using the upper end of 30 weeks means that students, on average, ought to be spending 40 hours per week on their studies during term time. 

The SAES 2025 reported study hours going back to 2021, and in each of those years, the average weekly commitment to study has been closer to 30-32 hours per week. This suggests that our standard guidance on study hours has become decoupled from the reality of what the average student is actually doing. But it is also important to note that the outcomes for students in the UK benchmark very well on a global scale. In other words, while students may not typically be studying the number of hours we have historically assumed are necessary, the hours they are committing to study are associated with excellent outcomes overall when we benchmark ourselves globally. A national conversation on the time required to be successful in higher education could lead to positive changes in the way that we structure learning experiences for our students, reflecting the modern pressures which are unlikely to significantly recede. 

We mentioned earlier that apprentices do have constraints placed on the combined number of work and study hours that they can be required to undertake. Education providers and employers might reflect on whether we can learn lessons from the models of learning and teaching that have been devised for these cohorts, which might be appropriate for non-apprentice students who nonetheless still have to combine study with work. 

Incorporate insights into the pressures students face as part of regional and national skills planning. 

As Skills England continue to work to map regional and national skills needs, there is an opportunity to work with employers and education providers to ensure that no students are excluded from education as a result of excessive workloads. The issues highlighted in our analysis should not only be addressed as a matter of moral and ethical obligation, but because there is a significant risk to closing our national skills gaps if we do not make education accessible to prospective students. Local Skills Improvement Plans, now the responsibility of Skills England, could be used to share insights into some of these challenges, to ensure that local and regional strategies to meet skills needs are sensitive to the context in which learners and students are having to study. 

Positive interventions in this area might include developing guidelines – in partnerships with national bodies such as the National Union of Students – for employers who hire significant numbers of students, to understand how to support them to maintain a sustainable work/study balance. Such a “Student Friendly Employer Scheme” could deliver significant mutual benefits for students, as well as current and prospective employers of those students. Critically, it would also help to mitigate the risk of not being able to generate a sufficient pipeline of students entering tertiary education, due to excessive demands being placed on their time potentially rendering study an unattractive choice in future. 

Taken together, these recommendations may still not suffice to reverse current trends, which we would argue are not sustainable in the long term. However, they do reflect the fact that the challenge is complex, and that a wide range of stakeholders can play a part in helping to reduce the excessive burdens faced by a growing segment of our student population – ensuring that our education sector is able to support the long term social and economic needs of the country. 

The promise of higher education has always been to expand opportunity and drive social mobility. But this promise is weakened if students are routinely working and studying beyond the limits we set for employees in the workplace. The data show that for a growing proportion of students, time pressures and financial demands are not an occasional challenge but a permanent feature of their university life. Unless universities, employers and policymakers work together to address this, we risk creating a system where success depends less on talent or effort and more on a student’s ability to endure unsustainable workloads – undermining the very principles of fairness and opportunity that higher education is meant to uphold.

Rose Stephenson, Director of Policy and Strategy, Higher Education Policy Institute and co-author of the Student Academic Experience Survey 2025

Find out more about Advance HE's student surveys and working with our Insights Team

We feel it is important for voices to be heard to stimulate debate and share good practice. Blogs on our website are the views of the author and don’t necessarily represent those of Advance HE.

Keep up to date - Sign up to Advance HE communications

Our monthly newsletter contains the latest news from Advance HE, updates from around the sector, links to articles sharing knowledge and best practice and information on our services and upcoming events. Don't miss out, sign up to our newsletter now.

Sign up to our enewsletter